在线博彩 林业局关于计划兑现2024年正秋季小蚕共育补助资金情况的公示
在线博彩 林业局
关于计划兑现2024年正秋季小蚕共育补助资金情况的公示
根据区政府《关于印发在线博彩 农业产业化及食品农产品加工业奖励扶持办法的通知》(黔江府发〔2024〕8号)文件,为做好资金兑现前公示工作,现将计划兑现2024年正秋季小蚕共育补助资金情况公示如下:
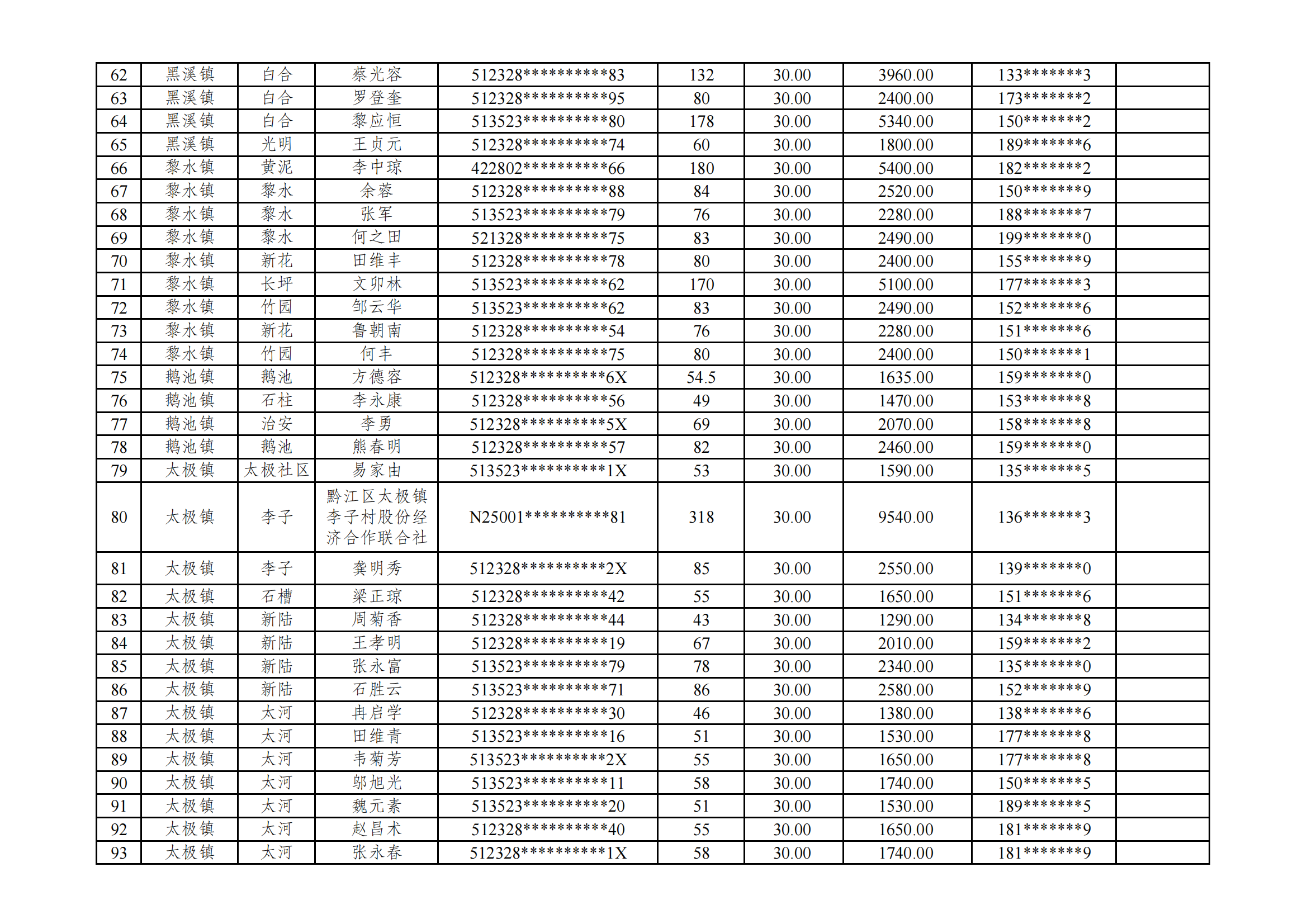
2024年在线博彩 正秋季23个乡镇89个村151户共育小蚕12084.5张,每张补助 30 元,应兑现资金36.2535万元(详见附件)。公示时间:2024年11月22日—11月28日(5个工作日)。请有关单位、养蚕户和社会各界监督。如有异议,请于公示期内通过电话方式反馈或者书面反馈。
(区林业局监督举报电话:79227629;区纪委监委监督举报电话:79225629;政务服务便民热线:12345)
附件:2024年正秋季小蚕共育补助资金计划公示表
在线博彩 林业局
2024年11月22日





国务院部门网站
地方政府网站
市政府部门网站
区(县)政府网站
其他网站
微信
微博
